Hvad nu hvis der er en dag hvor markedet generelt er mere nedadgående end andre? For at svare på det kræver det noget data! Google plejer jo at være et godt sted, men de lukkede deres Google Finance tilbage i 2018 og tilbyder ikke længere nogen API (Application Programming Interface) hvor man kan hente data gennem. Men, der findes et fantastisk alternativt i Yahoo Finance og der findes også en R pakke til at hente data derfra. Jeg finder frem til NASDAQ100 indeks (^NDX), Dow Jones Industrial Average (^DJI), S&P 500 (^GSPC) og OMX Copenhagen 25 Index (^OMXC25). Jeg henter derefter daglig data (åbningspris, lukkepris, højeste og laveste pris) fra de fire indeks ned.

| 2019-10-14 | 2020-02-12 | 2020-06-11 | 2020-10-09 | 2021-02-09 | 2021-06-11 | 2021-10-11 | |
|---|---|---|---|---|---|---|---|
| DOW-JONES | 26766 | 29407 | 26283 | 28534 | 31360 | 34500 | 34724 |
| NASDAQ100 | 7835 | 9570 | 9908 | 11616 | 13667 | 13959 | 14766 |
| OMXC25 | 1118 | 1352 | 1328 | 1564 | 1669 | 1828 | 1831 |
| S&P500 | 2966 | 3371 | 3124 | 3460 | 3910 | 4243 | 4385 |
I alle fire indeks er kan man se en generel stigning i løbet af de to sidste år, samt ”corona-dykket” omkring marts i 2020. Men det er lidt besværligt at sammenligne når de starter på så vidt forskellige værdier. Så for at gøre det nemmere at sammenligne dem med hinanden (og med dem selv) normalisere jeg dem til 100 ved den første dato.

| 2019-10-14 | 2020-02-12 | 2020-06-11 | 2020-10-09 | 2021-02-09 | 2021-06-11 | 2021-10-11 | |
|---|---|---|---|---|---|---|---|
| DOW-JONES | 100 | 110 | 98 | 107 | 117 | 129 | 130 |
| NASDAQ100 | 100 | 122 | 126 | 148 | 174 | 178 | 188 |
| OMXC25 | 100 | 121 | 119 | 140 | 149 | 164 | 164 |
| S&P500 | 100 | 114 | 105 | 117 | 132 | 143 | 148 |
Nu er det straks nemmere at sammenligne. Ovenfor lignede det at det var Dow Jones der var steget mest i løbet af de to sidste år, men det viser sig faktisk at den er steget mindst (+30%), mens det er NASDAQ100 (+88%) og det danske C25 indeks (+64%) der har klaret sig bedst.
Grøn mandag?
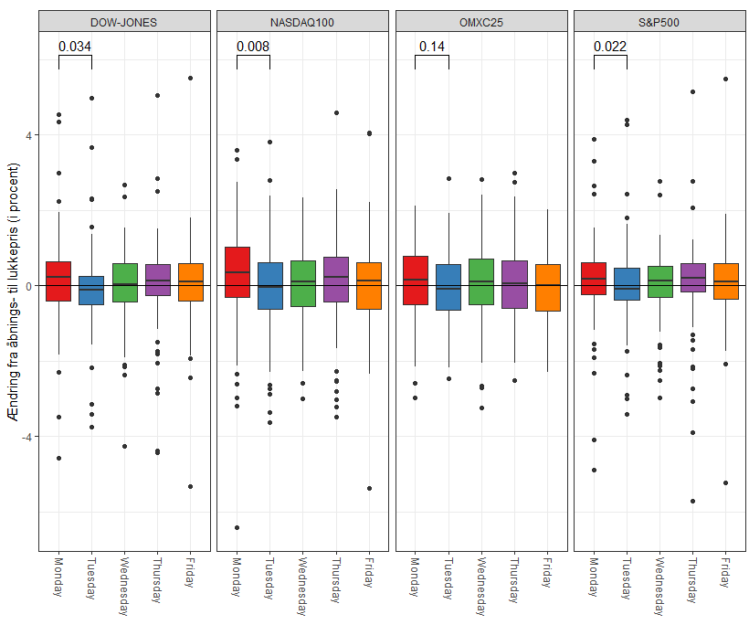
Hver dag åbner markedet med en pris og lukker med en anden. Nogle gange er lukkeprisen lavere end åbningsprisen (en rød dag) og andre gange er det omvendt og markedet lukker højere end det åbnede (en grøn dag). Hvis man så for alle dage udregner ændring fra åbning til luk i procent kan man finde medianen for ændringer for hver dag.

Generelt følger de fire indeks hinanden meget godt i forhold til ugedagen. De fleste ugedage lukker i gennemsnit højere end de åbner, hvilket passer meget godt med at markedet generelt er i vækst, og det ser ud til at mandag er stigningen oftest højest. Men hvad sker der for tirsdag? Der tager alle fire indeks oftere et dyk end en stigning i forhold til alle de andre dage. Men er det signifikant? For at svare på det skal vi lige have alt data med.

Dette er et boksplot (ikke at forveksle med et candlesticks plot). Selve boksen viser første og tredje kvartil (kaldet interkvartilområdet (IQR) dvs. hvor 50% af de ca. 100 datapunkter for hver dag ligger), med en vandret streg for medianen. De to lodrette streger viser 1,5 gange interkvartilområdet og alt uden for det område vises som prikkerne, også kaldet outliers. For alle fire indeks er der lavet en statistisk test for om der er forskel i median fra mandag til tirsdag (p < 0.05, Wilcoxon rank-sum test). For alle andre indeks end OMXC25 er der en signifikant forskel mellem mandag og tirsdag.
Kan jeg handle på det?
Når vi nu har fundet ud af at mandag er en god dag og tirsdag er en dårlig dag, kan vi så bruge det til noget? Lad os prøve at gå 2 år tilbage i tiden og lege at vi har 100.000 kroner. Hver mandag køber vi for alt hvad vi har når markedet åbner og sælger igen lige inden det lukker. Og det gør vi så alle mandage i de to år.

Så havde det faktisk gået meget godt for alle fire indeks, der alle ender over startbeløbet på 100.000 kroner. Bedst for NASDAQ100 med en stigning på omkring 20% over to år. Men hvad så hvis jeg havde gjort det samme tirsdag?

Tirsdag var så en dårlig dag at handle på at for alle indeks har vi tabt værdi for et sted mellem 5 og 10%. Ok, hvad så hvis man helt havde holdt sig væk fra tirsdag? Solgt hver tirsdag ved åbning og købt igen ved luk, og ellers holdt fast alle andre dage.

Så ser det jo super godt ud, med en stigning på over 100% for NASDAQ100! Det er faktisk bedre end hvis man bare havde købt og holdt (se figuren/tabellen overfor med normaliseret til 100). Men måske lidt besværligt og det bliver dyrt i kurtage.
Konklusion
Tirsdag har gennem de to sidste år været en generelt nedadgående dag for markedet, mens mandag har oftest være den dag med højest stigning. Hvis man havde vidst det og brugt det, havde man faktisk kunnet slå markedet. Skal jeg så til at sælge hver tirsdag morgen nu? Nej, dette er et mønster der kun optræder over de to sidste år. Over en lang nok periode (>10 år) er alle dage positive og det bedste man kan gøre på lang sigt er stadig at købe og holde.
